Başvurular, yalnızca 5-9 Mayıs 2025 tarihleri arasında İŞKUR’un e-şube portalı (https://esube.iskur.gov.tr) üzerinden online olarak kabul edilecek.
Alım Yapılacak Pozisyonlar ve Şartlar
- Temizlik Görevlisi:
En az ilkokul mezunu olmak (Yetişkinler II. Kademe eğitim belgesi kabul edilmektedir).
- Klinik Destek Elemanı
Ortaöğretim düzeyinde sağlık hizmetleri alanından mezun olmak. (Hemşire yardımcılığı, ebe yardımcılığı veya sağlık bakım teknisyenliği bölümleri).
- Silahsız Güvenlik Görevlisi:
Ortaöğretim, ön lisans ya da lisans mezunu olmak,
Engelli veya eski hükümlü olmamak.
Genel Başvuru ŞartlarıAdayların başvurunun ilk günü itibarıyla 40 yaşını doldurmamış olması gerekmektedir (5 Mayıs 1985 ve sonrası doğumlu adaylar başvuru yapabilir).
Adaylar, aynı kamu kurumunun yalnızca bir ilanına başvuruda bulunabilir.
Başvurular e-Devlet üzerinden veya İŞKUR hizmet noktalarından yapılabilir.
Başvurularda adayın ikametgah adresi esas alınır. İlanın yayınlandığı il/ilçe dışında yapılan başvurular geçersiz sayılır.
Başvuru Süreci ve Kura İşlemiBaşvuruların tamamlanmasının ardından kura çekimi yapılacak ve bu işlemin 27 Mayıs 2025 tarihine kadar sonuçlandırılması planlanıyor. Kura sonucunda her bir pozisyon için asil ve yedek adaylar belirlenecek. Kura çekiminin yeri ve saati ile ilgili detaylar Sağlık Bakanlığı’nın resmi internet sitesinden duyurulacaktır.
Belgelerin Teslimi ve Diğer HususlarKura sonucu listelerde yer alan adaylar, ilan edilen pozisyon için gerekli tüm belgeleri Sağlık Bakanlığı’na ibraz etmek zorundadır. Belge kontrolü, kamu kurumunun tercihine göre kura öncesinde ya da sonrasında yapılabilir. Belgelerini eksik ya da hatalı beyan eden adayların başvuruları geçersiz sayılır.
Noter kurası sonucunda atanmaya hak kazanan adaylar, 4857 Sayılı İş Kanunu ve ilgili yönetmelik hükümleri doğrultusunda sürekli işçi statüsünde istihdam edilecektir.
Not: Başvurular sadece online olarak İŞKUR'un e-şube sistemi üzerinden alınacaktır. Şahsen başvuru kabul edilmeyecektir.
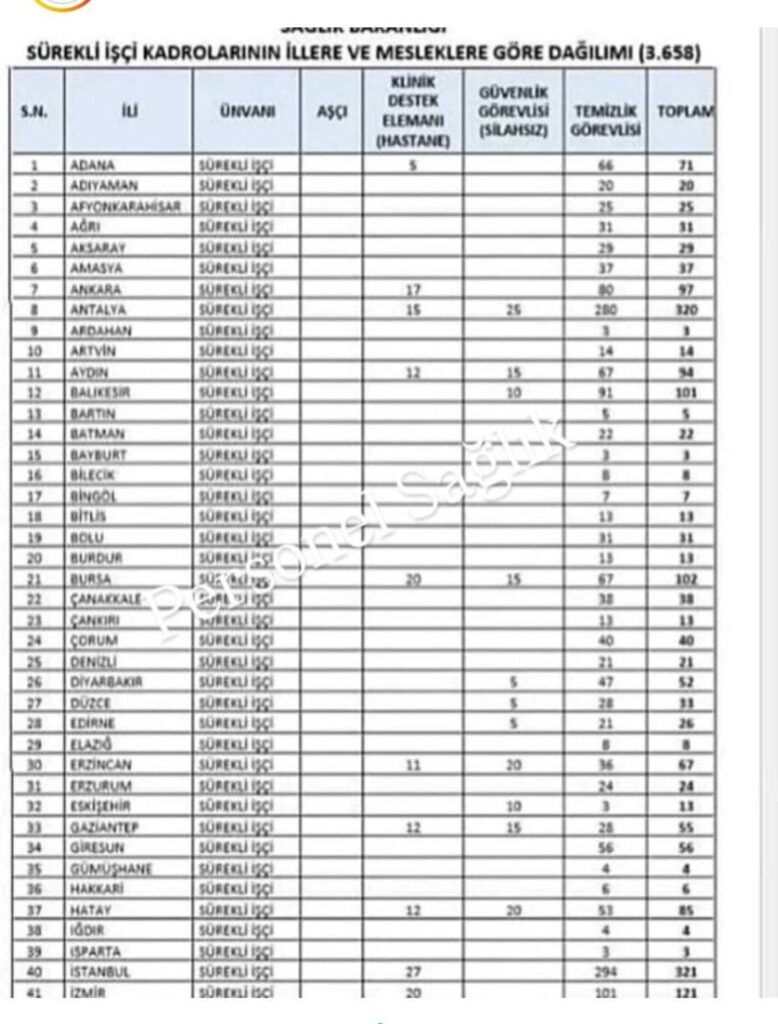
İŞTE İLİ İL ALINACAK PERSONEL SAYISI VE BRANŞLAR...




