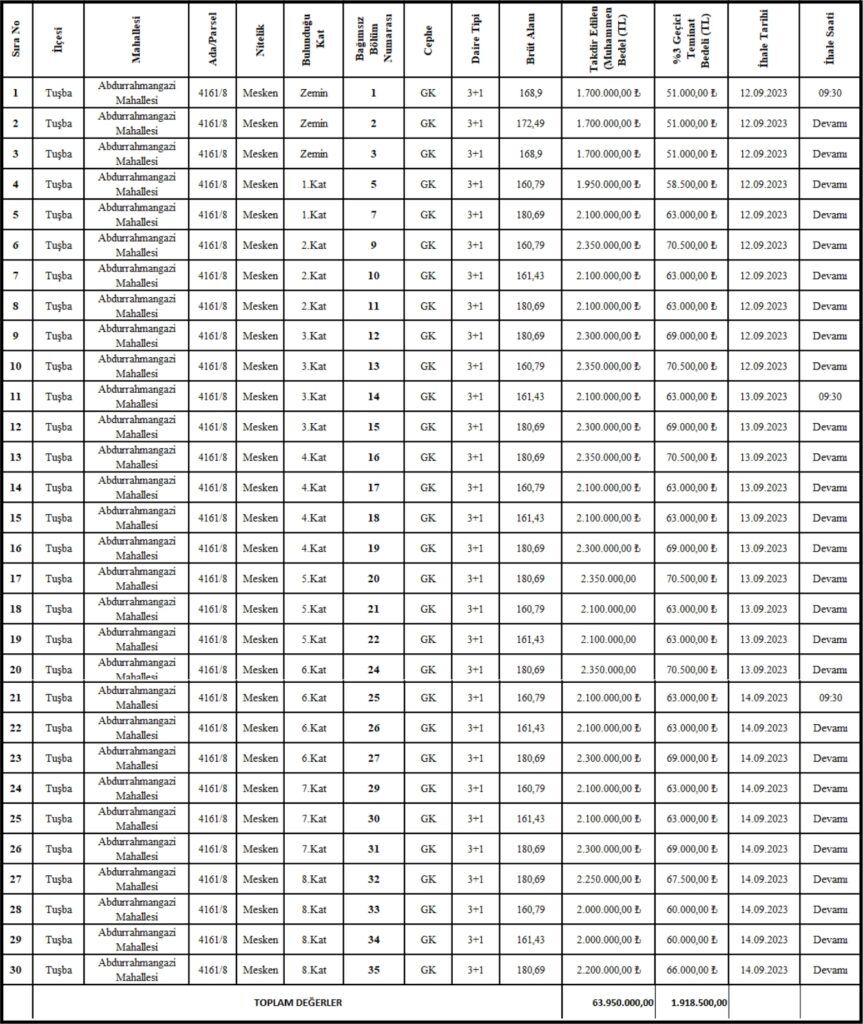
1. Mülkiyeti Belediyemize ait Tuşba ilçesi, Abdurrahman Gazi Mahallesi, imarın 4161 ada 8 parsel üzerindeki C-Blok’ta bulunan (30 Adet ) Daire bağımsız bölüm numarası, takdir edilen (muhammen) bedeli geçici teminatı yazılı taşınmazlar, 2886 sayılı kanununun 35/a. maddesi gereğince Kapalı Zarf usulü ile satış bedeli, ihale karar pulu, sözleşme karar pulu, ilan giderleri ve diğer giderleri peşin ödenmesi şartıyla peşin perakende (tek tek) mülkiyet satışı yapılacaktır. İhale 12-13-14/09/2023 tarihleri arasında saat :09:30 da başlamak üzere Erciş yolu Caddesi No:35A daki Belediye Hizmet binasında bulunan ENCÜMEN salonunda toplanacak Belediye ENCÜMENİ’nce yapılacak.

1- İhale Tuşba Belediye Encümen Salonunda 12-13-14/09/2023 tarihinde Salı ve Çarşamba ve Perşembe günü 3 gün boyunca saat 09:30’da Tuşba Belediye Encümenince yapılacaktır.
2- 30 adet kat irtifaklı dairenin taşınmaz mal satış ihale şartnamesi Tuşba Belediyesi Hizmet Binası, Abdurrahman Gazi Mahallesi, Erciş bulvarı Caddesi, No:35 Tuşba/VAN adresindeki, Tuşba Belediyesi Emlak ve İstimlak Müdürlüğü’nden 100,00 TL (yüz tl) ücret karşılığında şartname alınabilir.
3- İhaleye Katılabilme Şartları:
İhaleye katılacak istekliler teklif dosyası ile beraber aşağıda yazılı belgeleri usulüne uygun olarak hazırlayarak en geç
12/09/2023 tarihindeki ihale için 11/09/2023 Pazartesi günü saat 16:30’a kadar
13/09/2023 tarhindeki ihale için 12/09/2023 Salı günü saat 16:30 a kadar
14/09/2023 tarihindeki ihale için 13/09/2023 Çarşamba günü saat 16:30 a kadar Tuşba Belediyesi, Emlak ve İstimlak Müdürlüğü’ne teslim etmek mecburiyetindedirler.
A)Tüzel kişi olması halinde:
a) Adres Beyanı: Türkiye’de tebligat için adres beyanı (E-Devleten çıkarılabilir )
b) İkametgâh Belgesi: Kanuni ikametgâh sahibi olduğunu gösteren belge (E-Devleten çıkarılabilir)
c) Ticaret ve Sanayi Odası Belgesi
d) İmza Sirküleri ( Noter onaylı )
e) Teklif Mektubu: (2886 sayılı yasanın 37. maddesine uygun)
f) Geçici Teminat: (2886 sayılı yasaya uygun, İstekliler söz konusu gayrimenkulün ihalesine katılabilmek için Talip oldukları dairenin %3 ‘ün tutarı kadar geçici teminat veya banka teminat mektubu vereceklerdir.) Ödeme koşulları Teknik Şartnamede belirtilmiştir
g) Vekâletname ve imza sirküleri: İstekliler adına vekâleten iştirak ediliyor ise istekli adına teklifte bulunacak kimselerin noter tasdikli vekâletname ile vekâleten katılanın noter tasdikli imza sirküleri.
h) Ortak Girişim Beyannamesi ile Ortaklık Sözleşmesi: Ortak girişim olması halinde Noter tasdikli Ortak Girişim Beyannamesi ile Ortaklık Sözleşmesi (ihale üzerine kaldığında noter tasdiki yapılacaktır). Ortak girişimi oluşturan gerçek kişi veya tüzel kişilerin her birinin (c) ve (d) fıkralarına göre temin edecekleri belgeler.
ı) Tüzel kişi olması halinde, ilgisine göre tüzel kişiliğin ortakları, üyeleri veya kurucuları ile tüzel kişiliğin yönetimindeki görevlileri belirten son durumu gösterir Ticaret Sicil Gazetesi veya bu hususları tevsik eden belgeler ile tüzel kişiliğin noter tasdikli imza sirküleri,
i) Yer Görme Belgesi ( İdareden alınacak )
j) Şartname Alındı Makbuzu (Aslı) ( İdareden alınacak )
k) Taşınmaz Mal Satış Şartnamesi (İmzalı) ( İdareden alınacak )
l) İhalelere katılmaya yasaklı olmadığına dair yazılı beyan ( İdareden alınacak )
m) Tuşba Belediyesine borcu olmadığına dair yazı ( İdareden alınacak )
n) Yabancı uyruklu olması halinde 2644 sayılı yasaya göre mülk edinmesinde engel veya kısıtlı olmadığına dair beyanname
B) Gerçek kişi olması halinde:
a) Adres Beyanı: Türkiye’de tebligat için adres beyanı ( E-Devleten çıkarılabilir)
b) İkametgâh Belgesi: Kanuni ikametgâh sahibi olduğunu gösteren belge( E-Devleten çıkarılabilir )
c) Noter tasdikli imza sirküleri/ beyannamesi
d) Kimlik fotokopisi
e) Teklif Mektubu: (2886 sayılı yasanın 37. maddesine uygun)
f) Geçici Teminat: (2886 sayılı yasaya uygun, İstekliler söz konusu gayrimenkulün ihalesine katılabilmek için Talip oldukları dairenin %3 ‘ün tutarı kadar geçici teminat veya banka teminat mektubu vereceklerdir.) Ödeme koşulları Teknik Şartnamede belirtilmiştir
g) Vekâletname ve imza sirküleri: İstekliler adına vekâleten iştirak ediliyor ise istekli adına teklifte bulunacak kimselerin noter tasdikli vekâletname ile vekâleten katılanın noter tasdikli imza sirküleri.
h) Yer Görme Belgesi ( İdareden alınacak )
ı) Şartname Alındı Makbuzu (Aslı) (İdareden alınacak )
i) Taşınmaz Mal Satış Şartnamesi (İmzalı) (İdareden alınacak )
j) Ortak Girişim Beyannamesi ile Ortaklık Sözleşmesi: Ortak girişim olması halinde Noter tasdikli Ortak Girişim Beyannamesi ile Ortaklık Sözleşmesi (ihale üzerine kaldığında noter tasdiki yapılacaktır).
k) İhalelere katılmaya yasaklı olmadığına dair yazılı beyan ( İdareden alınacak )
l) Yabancı uyruklu olması halinde 2644 sayılı yasaya göre mülk edinmesinde engel veya kısıtlı olmadığına dair beyanname
m) Tuşba Belediyesine borcu olmadığına dair yazı ( Mali Hizmetler Müdürlüğünden alınacak )
Vekaletten katılımlarda ek olarak;
-Noter Tasdikli Vekâletnamenin (Aslı)
-Vekilin Nüfus Cüzdanı (Fotokopisi)
-Vekilin Noter Onaylı İmza Sirküsü veya İmza Beyannamesi
4- İhale ile ilgili olarak her türlü vergi, resim, harçlar, ipotek masrafları ve diğer giderleri ödemek istekliye aittir.
5- İsteklilerin, yukarıda belirtilen belgelerle birlikte şartnamede belirtildiği şekilde hazırlayacakları teklif mektuplarını içeren kapalı zarflarını en geç
12/09/2023 tarihindeki ihale için 11/09/2023 Pazartesi günü saat 16:30’e kadar,
13/09/2023 tarhindeki ihale için 12/09/2023 Salı günü saat 16:30 a kadar,
14/09/2023 tarihindeki ihale için 13/09/2023 Çarşamba günü saat 16:30 a kadar Tuşba Belediyesi Hizmet Binası, Abdurrahman Gazi Mahallesi, Erciş bulvarı Caddesi, No:35 Tuşba/VAN adresindeki, Tuşba Belediyesi Emlak ve İstimlak Müdürlüğü’ne sıra numaralı alındı karşılığında verilebileceği gibi, iadeli taahhütlü posta vasıtasıyla da gönderilebilir. Posta ile gönderilecek tekliflerin ilanda belirtilen saate kadar komisyon başkanlığına ulaşması şarttır. Postada olacak gecikmeler kabul edilmez. Postadaki gecikme sebebiyle değerlendirmeye alınmayacak tekliflerin alınış zamanı bir tutanakla tespit edilir. Komisyon başkanlığına verilen teklifler herhangi bir nedenle geri alınamaz.
6- Türkiye Radyo ve Televizyon (TRT) İdaresinin saat ayarı esastır.
7- İhale komisyonu (Belediye Encümeni), gerekçesini kararda belirtmek suretiyle ihalesini yapıp yapmamakla serbesttir. Komisyonun ihaleyi yapmama kararına itiraz edilemez.
İlan olunur.